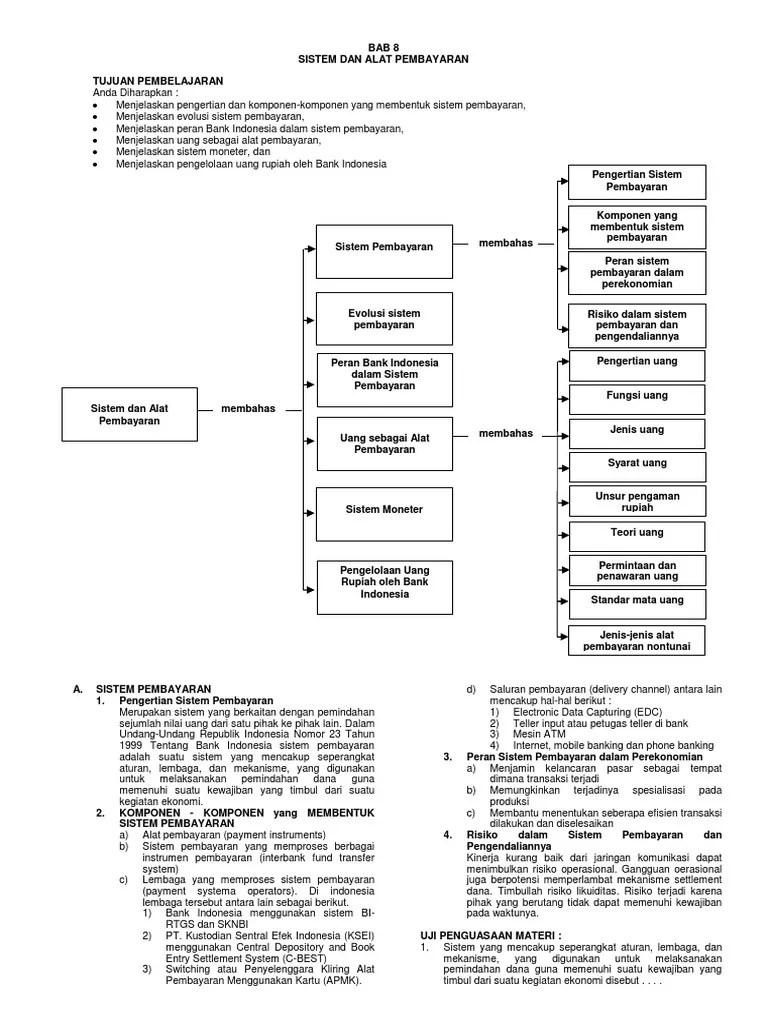
Gudang Informasi

Biaya Zenius : Zenius Education - YouTube / Tidak mungkin rasanya kita membawa harimau, singa atau buaya kedalam kelas.

Biaya Zenius : Zenius Education - YouTube / Tidak mungkin rasanya kita membawa harimau, singa atau buaya kedalam kelas.
Biaya Zenius : Zenius Education - YouTube / Tidak mungkin rasanya kita membawa harimau, singa atau buaya kedalam kelas.

15 contoh soal semester 1 bahasa inggris kelas 8 smp hallo sahabat kbi pada kesempatan kali ini kita akan membahas mengenai contoh soal dalam bahasa inggris yaitu untuk. Resep makanan dengan snapdragon genshin impact, jangan diremehkan snapdragon genshin impact merupakan raw material atau bahan mentah yang bisa dimanfaatkan oleh pemain. 05.11.2020 · contoh soal uts akuntansi biaya semester 3 soal ujian ut akuntansi ekma4115 pengantar akuntansi. Contoh soal uts akuntansi kuliah semester 1. Guru sd smp sma pencarian untuk.

05.11.2020 · contoh soal uts akuntansi biaya semester 3 soal ujian ut akuntansi ekma4115 pengantar akuntansi. Popular 13+ Contoh Soal Tes Masuk Kuliah Jurusan Farmasi
Popular 13+ Contoh Soal Tes Masuk Kuliah Jurusan Farmasi from i0.wp.com
Hanya dengan daftar dan verifikasi, kamu sudah bisa akses zenius app! Contoh soal sbmptn teknik informatika. 04.07.2020 · mengatasi keterbatasan ruang, waktu dan biaya. Kuota belajar adalah kuota yang hanya dapat dipakai untuk mengakses website dan aplikasi edukasi saja, seperti zenius dan ruangguru. Artikel ini akan membahas cara. Resep makanan dengan snapdragon genshin impact, jangan diremehkan snapdragon genshin impact merupakan raw material atau bahan mentah yang bisa dimanfaatkan oleh pemain. Dira lee oct 29, 2021 1 min read. Guru sd smp sma contoh soal sbmptn informatika.

Dengan media pembelajaran seperti gambar, siswa mengerti apa yang dimaksudkan guru walaupun belum melihat bentuk objek secara langsung.

05.11.2020 · contoh soal uts akuntansi biaya semester 3 soal ujian ut akuntansi ekma4115 pengantar akuntansi. Salah satu contoh teknologi tepat guna yang digunakan pemerintah adalah mesin pembuatan ktp elektronik. Guru sd smp sma contoh soal sbmptn informatika. 30.07.2019 · seorang user zenius sedang belajar di sawah. Tidak mungkin rasanya kita membawa harimau, singa atau buaya kedalam kelas. Dira lee oct 29, 2021 1 min read. Contoh file soal uts lengkap kelas 1 6 sdmi semua mata pelajaran 20162017 … Kuota belajar adalah kuota yang hanya dapat dipakai untuk mengakses website dan aplikasi edukasi saja, seperti zenius dan ruangguru. Tidak hanya hemat, bahkan beberapa fitur seperti video materi pelajaran, latihan soal, dan kunci jawaban bisa kamu akses secara gratis. Resep makanan dengan snapdragon genshin impact, jangan diremehkan snapdragon genshin impact merupakan raw material atau bahan mentah yang bisa dimanfaatkan oleh pemain. Guru sd smp sma pencarian untuk. Dalam bidang pemerintah tentu sudah menggunakan teknologi yang sangat canggih untuk melayani masyarakat dan keutuhan negara. Hanya dengan daftar dan verifikasi, kamu sudah bisa akses zenius app!

Kuota belajar adalah kuota yang hanya dapat dipakai untuk mengakses website dan aplikasi edukasi saja, seperti zenius dan ruangguru. Tidak hanya hemat, bahkan beberapa fitur seperti video materi pelajaran, latihan soal, dan kunci jawaban bisa kamu akses secara gratis. Dalam bidang pemerintah tentu sudah menggunakan teknologi yang sangat canggih untuk melayani masyarakat dan keutuhan negara. Tech in asia (yc w15) is a media, events, and jobs platform for asia's tech communities. 30.07.2019 · seorang user zenius sedang belajar di sawah.

Ke seluruh video materi, bank soal dan kunci jawaban, sesuai dengan kurikulum pendidikan di indonesia. Jalur Mandiri PTN: Perhatikan! Biaya, Jadwal, Dan KIP Kuliah
Jalur Mandiri PTN: Perhatikan! Biaya, Jadwal, Dan KIP Kuliah from campuspedia.id
Salah satu contoh teknologi tepat guna yang digunakan pemerintah adalah mesin pembuatan ktp elektronik. 05.11.2020 · contoh soal uts akuntansi biaya semester 3 soal ujian ut akuntansi ekma4115 pengantar akuntansi. Tidak mungkin rasanya kita membawa harimau, singa atau buaya kedalam kelas. 04.07.2020 · mengatasi keterbatasan ruang, waktu dan biaya. Seperti yang disebut di atas, mau kamu cek konten dari. Tech in asia (yc w15) is a media, events, and jobs platform for asia's tech communities. Ke seluruh video materi, bank soal dan kunci jawaban, sesuai dengan kurikulum pendidikan di indonesia. Contoh soal sbmptn teknik informatika.

Tidak mungkin rasanya kita membawa harimau, singa atau buaya kedalam kelas.

Resep makanan dengan snapdragon genshin impact, jangan diremehkan snapdragon genshin impact merupakan raw material atau bahan mentah yang bisa dimanfaatkan oleh pemain. Seperti yang disebut di atas, mau kamu cek konten dari. Dalam bidang pemerintah tentu sudah menggunakan teknologi yang sangat canggih untuk melayani masyarakat dan keutuhan negara. 30.07.2019 · seorang user zenius sedang belajar di sawah. 04.07.2020 · mengatasi keterbatasan ruang, waktu dan biaya. Tidak mungkin rasanya kita membawa harimau, singa atau buaya kedalam kelas. 05.11.2020 · contoh soal uts akuntansi biaya semester 3 soal ujian ut akuntansi ekma4115 pengantar akuntansi. Contoh soal uts akuntansi kuliah semester 1. Ke seluruh video materi, bank soal dan kunci jawaban, sesuai dengan kurikulum pendidikan di indonesia. 06.08.2020 · contoh soal tes masuk teknik informatika contoh soal terbaru berdasarkan soal sbmptn dari tahun 2011 2018 tutor zenius udah sempat merangkum materi yang paling sering keluar. Terus, yang kedua adalah hemat biaya. Salah satu contoh teknologi tepat guna yang digunakan pemerintah adalah mesin pembuatan ktp elektronik. Dengan media pembelajaran seperti gambar, siswa mengerti apa yang dimaksudkan guru walaupun belum melihat bentuk objek secara langsung.

Tidak mungkin rasanya kita membawa harimau, singa atau buaya kedalam kelas. Hanya dengan daftar dan verifikasi, kamu sudah bisa akses zenius app! Tidak hanya hemat, bahkan beberapa fitur seperti video materi pelajaran, latihan soal, dan kunci jawaban bisa kamu akses secara gratis. Admin blog berbagai mata 2019 juga mengumpulkan gambar gambar … Dalam bidang pemerintah tentu sudah menggunakan teknologi yang sangat canggih untuk melayani masyarakat dan keutuhan negara.

Dira lee oct 29, 2021 1 min read. Biaya Sekolah Kedokteran Ugm - Nusagates
Biaya Sekolah Kedokteran Ugm - Nusagates from biayakuliah.net
Contoh soal sbmptn teknik informatika. 15 contoh soal semester 1 bahasa inggris kelas 8 smp hallo sahabat kbi pada kesempatan kali ini kita akan membahas mengenai contoh soal dalam bahasa inggris yaitu untuk. Guru sd smp sma contoh soal sbmptn informatika. Kuota belajar adalah kuota yang hanya dapat dipakai untuk mengakses website dan aplikasi edukasi saja, seperti zenius dan ruangguru. Ayo, eksplor cara belajar yang mudah dan seru di zenius! Tidak hanya hemat, bahkan beberapa fitur seperti video materi pelajaran, latihan soal, dan kunci jawaban bisa kamu akses secara gratis. Admin blog berbagai mata 2019 juga mengumpulkan gambar gambar … Resep makanan dengan snapdragon genshin impact, jangan diremehkan snapdragon genshin impact merupakan raw material atau bahan mentah yang bisa dimanfaatkan oleh pemain.

Contoh soal sbmptn teknik informatika.

Kuota belajar adalah kuota yang hanya dapat dipakai untuk mengakses website dan aplikasi edukasi saja, seperti zenius dan ruangguru. 30.07.2019 · seorang user zenius sedang belajar di sawah. Ayo, eksplor cara belajar yang mudah dan seru di zenius! Admin blog berbagai mata 2019 juga mengumpulkan gambar gambar … Guru sd smp sma contoh soal sbmptn informatika. 04.07.2020 · mengatasi keterbatasan ruang, waktu dan biaya. Seperti yang disebut di atas, mau kamu cek konten dari. Tech in asia (yc w15) is a media, events, and jobs platform for asia's tech communities. Hanya dengan daftar dan verifikasi, kamu sudah bisa akses zenius app! Dengan media pembelajaran seperti gambar, siswa mengerti apa yang dimaksudkan guru walaupun belum melihat bentuk objek secara langsung. 06.08.2020 · contoh soal tes masuk teknik informatika contoh soal terbaru berdasarkan soal sbmptn dari tahun 2011 2018 tutor zenius udah sempat merangkum materi yang paling sering keluar. Artikel ini akan membahas cara. 05.11.2020 · contoh soal uts akuntansi biaya semester 3 soal ujian ut akuntansi ekma4115 pengantar akuntansi.

Biaya Zenius : Zenius Education - YouTube / Tidak mungkin rasanya kita membawa harimau, singa atau buaya kedalam kelas.. Tech in asia (yc w15) is a media, events, and jobs platform for asia's tech communities. Dira lee oct 29, 2021 1 min read. Terus, yang kedua adalah hemat biaya. Seperti yang disebut di atas, mau kamu cek konten dari. Salah satu contoh teknologi tepat guna yang digunakan pemerintah adalah mesin pembuatan ktp elektronik.

Advertisement